Imputation of non-detect measurements

A complication in concentration modelling occurs when concentration measurements are reported as below a certain limit. Different names may be used for such a limit, e.g. limit of detection (LOD), limit of quantification (LOQ) or the more general term limit of reporting (LOR). Results that are only reported to be below the LOD (non-detects) or below the LOQ (non-quantifications) are generally referred to as censored values or non-reports. Censored values are a very common phenomenon for some classes of substances like pesticides. When modelling the substance concentrations, they can be handled by incorporating them in a parametric model, or by replacing them with a given value (imputation). For imputation, different models are available:

  • Replace by zero: All left censored measurement values are replaced by zero. This is an optimistic modelling choice.

  • Replace by factor x LOR: Measurements reported below LOD or LOQ are replaced by a factor times LOQ. When the LOQ is unspecified, then the LOD is used. When the factor is equal to one, this method can be assumed to be a conservative approach.

  • Replace LOD by factor x LOD and LOQ by factor x (LOQ - LOD): Measurements reported below LOD are replaced by a factor times LOD and measurements reported below LOQ are replaced by a factor times LOQ-LOD (i.e., a value between LOD and LOQ). the factor is set between zero and one.

  • Replace non-detects by zero and non-quantifications by factor * LOQ: the factor is set between zero and one.

See also non-detects handling method.

Note, when LOD is not available then it is assumed to be 0. When LOQ is not available then it is assumed to be LOD (or zero if LOD is also not available).

An additional option of the imputation methods that replace the left censored values with some positive value is to use occurrence frequencies for imputation. When this option is used, a part of the left-censored values are replaced by a positve value and another part is replaced by zero, based on the occurrence frequencies of the modelled foods and substances. Another option is to restrict imputation with positive values to only the authorised substances.

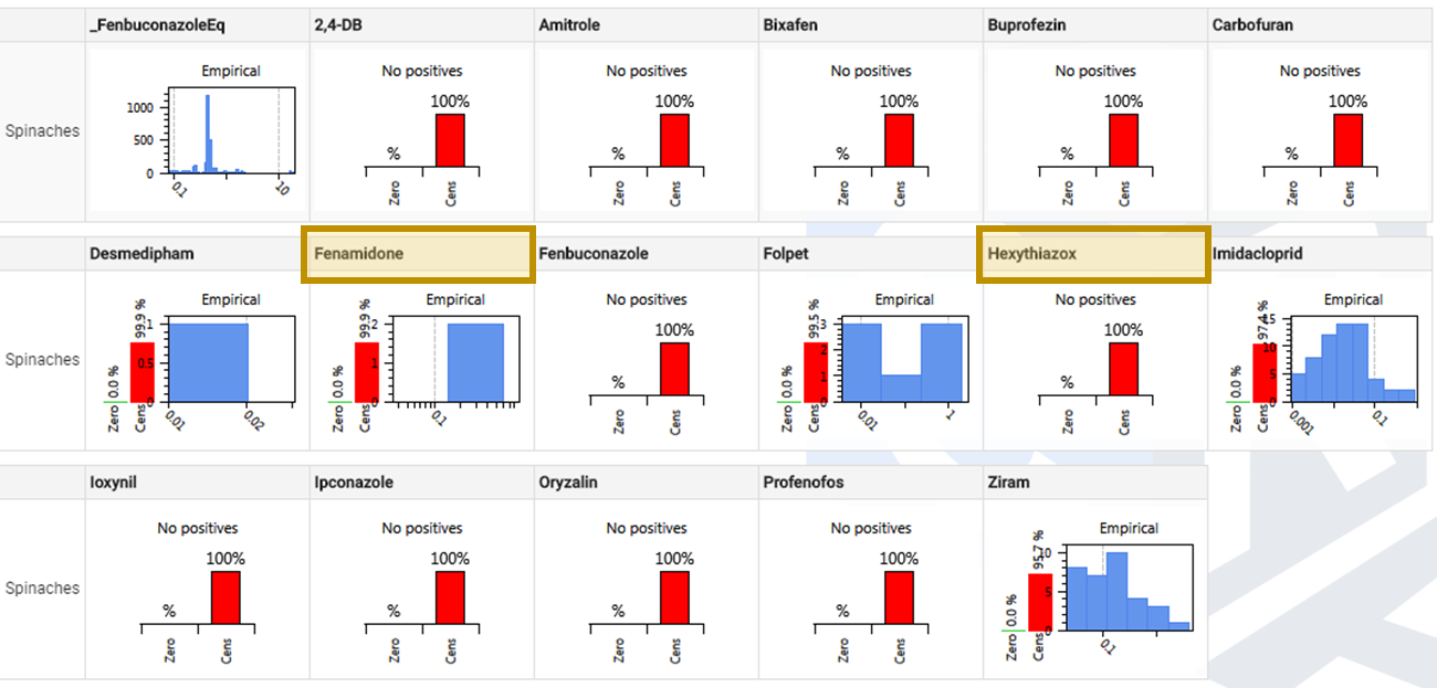
In Figure 52 to Figure 55, the various scenarios are displayed. Two substances, Fenamidine and Hexythiazox are indicated with a brown box, these substances are authorised.

No imputation

../../../_images/imputation2.png

Figure 52 Tier 1: Censored values are replaced by zero. For Fenamidine and Hexythiazox (brown boxes) authorized use is assumed.

Impute all censored values by factor times LOQ

../../../_images/imputation1.png

Figure 53 All censored values are replaced by a constant x LOR. For Fenamidine and Hexythiazox (brown boxes) authorized use is assumed.

Impute censored values based on authorized uses

../../../_images/imputation3.png

Figure 54 Censored values are replaced by a constant x LOR for authorized uses. For Fenamidine and Hexythiazox (brown boxes) authorized use is assumed.

No imputation except for authorized uses

../../../_images/imputation4.png

Figure 55 Tier 1: Censored values are not replaced except for authorized uses (replaced by a constant x LOR). For Fenamidine and Hexythiazox (brown boxes) authorized use is assumed.